중공 원이란 무엇인가
앞에서 원의 넓이를 배웠다면, 이번에는 한 단계 확장입니다.
중공 원(속이 빈 원)은 말 그대로
가운데가 뚫려 있는 원입니다.
예를 들면
- 파이프
- 원형 관
- 베어링 구조
이런 것들이 모두 중공 구조입니다.
중공 원의 핵심 개념
중공 원은 두 개의 원으로 이루어져 있습니다.
- 바깥 원 (큰 원)
- 안쪽 원 (작은 원)
그래서 넓이는 이렇게 생각하면 됩니다.
= 큰 원 - 작은 원

단면적 공식
공식은 다음과 같습니다.

정리하면

입니다.

기호 정리

왜 이런 공식일까?
이건 아주 직관적입니다.
- 큰 원 넓이 구하기

- 작은 원 넓이 구하기

- 빼기

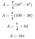
예시로 이해하기
다음과 같은 중공 원이 있다고 가정해 보겠습니다.

계산하면

입니다.

이미지로 이해하기 (핵심)
지금 올리신 이미지가 여기 들어가면 가장 좋습니다.
설명 예시

이렇게 보면 공식이 바로 이해됩니다.
비전공자 기준 핵심 정리
중공 원은 이렇게 기억하면 됩니다.
- 큰 원 - 작은 원
- 공식은 하나


'비전공자 | 기계기술사 도전 > 기초수학' 카테고리의 다른 글
| 기초 수학 정리 | 원의 넓이와 원주 쉽게 이해하기 (0) | 2026.03.27 |
|---|---|
| 기초 수학 정리 | 사각형 종류와 넓이 쉽게 이해하기 (0) | 2026.03.26 |
| 기초 수학 정리 | 삼각형 내각의 합 쉽게 이해하기 (0) | 2026.03.25 |
| 기초 수학 정리 | 삼각형 넓이 쉽게 이해하기 (0) | 2026.03.20 |
| 기초 수학 정리 | 삼각형 종류 쉽게 이해하기 (0) | 2026.03.18 |
🎧 유튜브 프리미엄 싸게 이용하는 꿀팁
광고 없는 영상, 음악, 백그라운드 재생까지 한 번에!
겜스고(GamsGo)는
6년 이상 안정적으로 운영된 글로벌 공식 파트너예요.
사용자 평점 ★4.6 이상, 최대 70% 할인,
환불 및 A/S 지원까지 가능한 신뢰도 높은 플랫폼이에요.
추천코드: NXQNV