사각형은 어떻게 나눌까?
삼각형 다음으로 자주 등장하는 도형이 바로 사각형입니다.
사각형은 말 그대로 변이 4개인 도형입니다.
그중에서도 가장 기본이 되는 사각형은 두 가지입니다.
- 정사각형
- 직사각형
이 두 개만 이해해도 기초는 충분합니다.
정사각형이란?
정사각형은 네 변의 길이가 모두 같은 사각형입니다.

그리고 중요한 특징이 하나 더 있습니다.

즉, 길이도 같고 각도도 모두 직각입니다.

직사각형이란?
직사각형은 마주 보는 변의 길이가 같은 사각형입니다.

그리고 마찬가지로

입니다.
정리하면
- 정사각형: 모든 변이 같음
- 직사각형: 두 변씩 같음

사각형의 넓이
이제 가장 중요한 넓이 공식입니다.
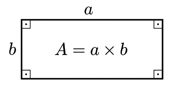
직사각형 넓이

- a: 가로
- b: 세로

정사각형 넓이
정사각형은 가로와 세로가 같기 때문에

즉

입니다.
왜 이 공식일까?
사각형 넓이는 사실 아주 직관적입니다.
가로 길이만큼 줄을 만들고
세로 길이만큼 쌓는다고 생각하면 됩니다.
예를 들어

이라면

즉 4칸 × 3줄 = 12칸입니다.
단위까지 같이 보기
공학에서는 단위가 중요합니다.

길이가 mm라면 넓이는 mm²가 됩니다.
이미지로 이해하기 (핵심)
여기에서 지금 올리신 이미지를 넣어주시면 가장 좋습니다.
이미지 설명 예시
- 정사각형: 모든 변이 같은 구조
- 직사각형: 가로(a), 세로(b) 구분
- 넓이 공식:

비전공자 기준 핵심 정리
사각형은 이렇게 기억하면 쉽습니다.

즉

이 공식 하나가 핵심입니다.

'비전공자 | 기계기술사 도전 > 기초수학' 카테고리의 다른 글
| 기초 수학 정리 | 중공 원 단면적 쉽게 이해하기 (0) | 2026.03.30 |
|---|---|
| 기초 수학 정리 | 원의 넓이와 원주 쉽게 이해하기 (0) | 2026.03.27 |
| 기초 수학 정리 | 삼각형 내각의 합 쉽게 이해하기 (0) | 2026.03.25 |
| 기초 수학 정리 | 삼각형 넓이 쉽게 이해하기 (0) | 2026.03.20 |
| 기초 수학 정리 | 삼각형 종류 쉽게 이해하기 (0) | 2026.03.18 |
🎧 유튜브 프리미엄 싸게 이용하는 꿀팁
광고 없는 영상, 음악, 백그라운드 재생까지 한 번에!
겜스고(GamsGo)는
6년 이상 안정적으로 운영된 글로벌 공식 파트너예요.
사용자 평점 ★4.6 이상, 최대 70% 할인,
환불 및 A/S 지원까지 가능한 신뢰도 높은 플랫폼이에요.
추천코드: NXQNV